Quelles mesures sanitaires les Français sont-ils prêts à accepter ?
Fêtes de réveillon en petit comité ou annulées, familles dispersées et isolées, autoconfinement, confinements locaux, partiels ou généralisés, couvre-feu, restrictions de déplacement, fermeture des frontières, incertitudes quant à la réouverture de certains secteurs : la France, comme de nombreux autres pays du monde, a fait face à une série de restrictions pour tenter d’endiguer l’épidémie.
Thierry Blayac, Université de Montpellier; Bruno Ventelou, Aix-Marseille Université (AMU); Dimitri Dubois, Université de Montpellier; Marc Willinger, Université de Montpellier; Phu Nguyen-Van, Université de Strasbourg et Sébastien Duchêne, Université de Montpellier

Si chaque type de mesures/restrictions a sa propre efficacité dans le contrôle de la dynamique épidémiologique, ces dernières doivent également être évaluées en fonction de leur acceptabilité par la population.
À l’heure où les décideurs se posent la question de ré-évaluer les mesures restrictives pour éviter un rebond de l’épidémie, les préférences des populations devraient compter dans la décision publique.
Et ce, en particulier après de longs mois d’efforts consentis, puis la mise en place de nouvelles mesures ces dernières semaines dans de nombreux pays européens.
Des attitudes distinctes
Notre équipe de chercheurs en économie comportementale a quantifié le degré de résistance ou d’acceptabilité d’une population face aux diverses stratégies de lutte contre l’épidémie de Covid-19. Nos résultats ont donné lieu à la publication d’un article dans la revue scientifique internationale The Lancet Public Health.
Les résultats de l’étude montrent que le port du masque, les limitations de transport et le suivi numérique sont relativement bien acceptés.
En revanche, les fermetures des restaurants et des lieux récréatifs, ainsi que les restrictions excessives des voyages d’agrément le sont beaucoup moins. Les analyses de sous-groupes de population (vulnérabilité clinique, tranches d’âge, sexe) montrent également que l’acceptabilité de certaines stratégies dépend de caractéristiques personnelles.
En particulier, la population jeune diffère assez fortement des autres, en termes de préférences de politiques anti-Covid-19 et de demandes de compensation monétaire, suggérant la nécessité d’un « menu » adapté de politiques anti-Covid-19, basé sur des attitudes distinctes.
Évaluer les préférences de la population
L’étude utilise une méthode de révélation des préférences, le « Discrete Choice Experiment », permettant d’évaluer les préférences de la population sur diverses combinaisons de politiques publiques de contrôle des épidémies de COVID-19.
Entre le 4 et le 16 mai 2020, à la fin du premier confinement en France, notre équipe a réalisé une enquête sur Internet portant sur un échantillon représentatif de la population française.
Un des objectifs de l’enquête était d’évaluer l’acceptation des mesures de restriction parmi les principales stratégies anti-COVID discutées par le gouvernement français au début du mois d’avril pour la période suivant le confinement.
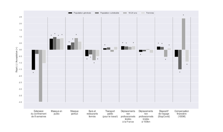
Le graphique ci-dessous donne un classement des préférences pour l’ensemble de la population et pour certains sous-groupes, définis en fonction de leur vulnérabilité clinique, de l’âge ou du sexe.

auteurs, Author provided
Un mal nécessaire
Les masques, les restrictions dans les transports publics et le traçage numérique (via une application optionnelle pour téléphone portable) ont été jugés acceptables par la population en général, à condition que les restrictions sur chacune de ces dimensions restent raisonnables. Ainsi, le port du masque est bien moins accepté lorsque la mention « partout » lui est associée.
À l’inverse, des semaines supplémentaires de confinement, la fermeture des restaurants et des bars, et une restriction excessive des déplacements pour les loisirs (inférieurs à 100 km) n’ont pas été jugées acceptables.
Dans l’ensemble, ces résultats indiquent que la population française a relativement bien accepté les mesures de restriction qui ont suivi le premier confinement, les vivant certes comme des contraintes, mais également comme un « mal nécessaire », à mettre en perspective avec le risque d’un confinement supplémentaire, une éventualité qui quant à elle a été perçue de manière très négative.
Le rejet pour des semaines supplémentaires de confinement était d’ailleurs plus que proportionnel : plus la durée de confinement additionnel est longue, plus l’intensité avec laquelle elle est rejetée est élevée.
Les personnes vulnérables plus tolérantes
Par rapport à la population générale, les personnes cliniquement vulnérables, c’est-à-dire celles qui déclarent souffrir d’une maladie chronique, ont montré une meilleure tolérance au confinement, une plus grande acceptation du port du masque et ont moins rejeté les fermetures de restaurants et de bars.
Cependant, ces différences étaient faibles, indiquant soit une forme d’altruisme de la part des non vulnérables envers les personnes vulnérables, soit une faible singularité des personnes vulnérables dans leurs attitudes face au risque.
Les jeunes (18-24 ans) étaient le groupe le plus dissonant, peut-être parce qu’ils sont moins concernés par les risques sanitaires que les groupes plus âgés (même si le risque médical n’est pas nul pour les jeunes, et reste important pour les aînés avec lesquels ils sont en contact).
Nous avons proposé dans notre enquête, parmi les différents attributs, une compensation financière pour pallier le poids des politiques de restriction. Nos analyses ont montré que les jeunes étaient nettement en faveur de cette proposition, contrairement aux autres segments de la population qui l’ont clairement rejetée.
De ce résultat, nous pouvons en déduire que les incitations financières pourraient être un instrument efficace quand elles sont ciblées sur les jeunes, et qu’elles sont susceptibles de pousser les jeunes à mieux accepter les options de politiques anti-COVID contraignantes.
Cette solution reviendrait à appliquer un mécanisme de compensation comme par exemple un transfert à la Pigou, déjà appliqué dans d’autres champs de l’économie publique. Selon Arthur Pigou, économiste anglais du début du XXe siècle, les principes de « l’économie du bien-être » peuvent conduire à taxer -ou indemniser- les individus qui exercent des effets externes négatifs -ou positifs-, de façon à les ramener à des comportements plus optimaux pour la société.
Ainsi, savoir comment les personnes au sein d’une population classent les différentes mesures prophylactiques liées au COVID-19 est une condition indispensable pour concevoir des programmes et des mesures appropriés, un défi que de nombreux pays de l’hémisphère Nord doivent relever chaque jour en attendant qu’un vaccin soit largement disponible.
Notre enquête souligne donc la nécessité de politiques anti-COVID plus proches des sensibilités des personnes.
Elle propose des pistes, en particulier à travers l’indemnisation des jeunes, pour permettre une meilleure acceptabilité des politiques de contrôle, tenant compte des préférences des différents segments de population, et pour éviter qu’une partie d’entre eux refuse d’adhérer aux mesures, propageant alors le risque épidémique dans la société tout entière.![]()
Thierry Blayac, Professeur d’Economie, Centre d’Economie de l’Environnement de Montpellier (CEE-M), Université de Montpellier; Bruno Ventelou, Chercheur CNRS-AMSE, économie, santé publique,, Aix-Marseille Université (AMU); Dimitri Dubois, Economie comportementale, Economie de l’environnement, Economie expérimentale, Université de Montpellier; Marc Willinger, Professeur d’Economie, économie comportementale et expérimentale, Université de Montpellier; Phu Nguyen-Van, Directeur de recherche CNRS en sciences économiques, Université de Strasbourg et Sébastien Duchêne, Maître de Conférences en Sciences Economiques, Université de Montpellier
Cet article est republié à partir de The Conversation sous licence Creative Commons. Lire l’article original.